巴斯夫BASF TINUVIN 791低聚受阻胺穩定劑的協同混合物
巴斯夫BASF TINUVIN 791是一種出色的低聚受阻胺復合增效紫外線光穩定劑,它是Chimassorb 944和Tinuvin 770的協效混合物,其成份中高分子量和低分子量受阻胺光穩定劑組份之間的協效作用可很大限度地確保聚合物免受由于紫外線輻射和長期受熱造成的降解,巴斯夫UV791光穩定劑是適用于厚制品的優良光穩定劑,特別適用于PP厚型材,比如汽車保險杠、儀表板、花園桌椅等,它具有優良的光穩定效果,可以提供出色的表面防護,在PP膠帶中它也表現出較高的穩定效率。
- 品牌:巴斯夫光穩定劑
- 型號:Tinuvin 791
- CAS:71878-19-8/52829-07-9
- 包裝規格:20kg/包
- 化學結構:Chimassorb 944與Tinuvin 770混合物
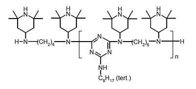
化 學 名 稱:
Tinuvin 770:雙(2,2,6,6-四甲基-4-哌啶基)葵二酸酯


CHIMASSORB 944:低聚-[[6-[(1,1,3,3-四甲基丁基)-亞氨基]-1,3,5-三嗪-2,4-二基]-[2-(2,2,6,6-四甲基哌啶基)-氨基]-亞已基-[4-(2,2,6,6-四甲基哌啶基)-亞氨基]]


巴斯夫UV791物理特性:
| 外觀 | 白色至淡黃色顆粒(無味) |
| 含量 | 99% |
| 熔點 |
大約55°C
|
|
閃點
|
>150°C |
| 相對密度(20°C) | 1.0–1.2g/cm³ |
| 蒸氣壓(20°C) | <0.01Pa |
| 揮發物 | ≤1.0% |
| 灰份 | ≤0.1% |

巴斯夫UV791應用范圍:
巴斯夫Tinuvin 791受阻胺光穩定劑適用于聚丙烯PP、聚丙烯與彈性體和PA的共混物、PP/EPDM和PP/PE/EPDM混合物(TPO類)等塑料聚合物的應用,它也可以用于苯乙烯聚合物,例如ABS、抗沖聚苯乙烯等。
巴斯夫UV791應用指南:
| 厚片 | PP的紫外線穩定 | 0.1 – 0.8 % |
| 膠帶 | PP的紫外線穩定 | 0.1 – 0.8 % |
巴斯夫UV791安全指導:
遵循良好的工業操作規范,小心使用并盡量避免與人接觸,避免連續和反復吸入灰塵,要在通風條件好的環境中使用,避免與眼睛接觸,防止環境污染,避免揚塵和接近火源,詳細資料請參考<<化學品安全技術說明書>>。

【返回上一頁】
產品列表
相關產品
最新文章
- 2026年合成染料與顏料市場報告:規模、趨勢及2030年增長
- 全球復合無機顏料市場規模分析:2035年達5.39億美元,建
- 巨頭領漲!巴斯夫全球塑料添加劑漲價20% 原材料成本推高行業
- 顏料耐候等級分幾級?耐光性8級的定義及耐候性測試標準解析
- 全球普魯士藍市場規模與預測(2026-2034):按類型、形
- 高性能工業顏料發展趨勢:綠色化、功能化與智能化技術革命
- 2026全球炭黑市場規模分析及未來趨勢:汽車產業成核心驅動力
- 涂料常用顏料大全:無機、有機及功能顏料分類與選型指南
- 常見塑料顏料種類全面介紹:分類與應用指南
- 全球染料與顏料市場規模預計2033年達662億美元:可持續轉
- 鈦陽化學Sun Chemical擴建喹吖啶酮顏料產能
- Paint India 2026:鈦陽化學與DIC展示高性能
- 工業顏料分類指南:無機、有機與功能顏料選型及應用解析
- 全球二氧化鈦市場規模與趨勢分析(2026–2033):應用、
- 熱致變色顏料與發光顏料的混合原理及應用解決方案
- 有機顏料與無機顏料在高性能涂層中的應用與選擇指南
- 中國科學家研發新型稀土環保顏料,打破重金屬“魔咒”
- 天然染料與顏料市場分析(2025–2033):規模、趨勢與區
- 科慕Chemours以3.6億美元出售中國臺灣二氧化鈦廠址,
- 無鎘環保型無機顏料:基于鈣鈦礦型氧氮化物CaTaO?N與La