顏料紅57:1(立索爾寶紅PR57:1)特性、用途與合成方法解析
- 名稱:顏料紅57:1
- 俗稱:立索爾寶紅
- 色相/色光:藍光紅色
- 化學類別:單偶氮色淀顏料
- 特點:高著色力、良好的耐光性和耐溶劑性
- 應用:油墨、油漆、塑料、橡膠、色母粒、電線
- 更新日期:2024-12-17
- 點擊索要樣品 查詢相關產品
顏料紅57:1(PR57:1)立索爾寶紅顏料特性、用途與合成方法解析
顏料紅57:1(Pigment Red 57:1),俗稱立索爾寶紅,屬于單偶氮色淀類有機顏料,該顏料呈現出明亮的藍光紅色調,對應于歐洲標準用于多色、凸版印刷和膠版印刷的標準“品紅色”色調。立索爾寶紅顏料PR57:1具有高著色力、良好的耐光性和耐溶劑性,廣泛應用于印刷油墨、涂料、色母粒、塑料、橡膠、電線、日用化學制品及油彩和水彩顏料的著色等領域。本文將詳細探討顏料紅57:1的化學性質、物理特性、合成方法以及其在各行業中的應用。
化學性質
- 索引號名稱:顏料紅57:1
- 英文名稱:Pigment Red 57:1/PR57:1
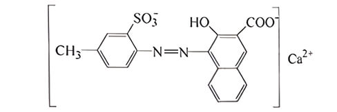
- 化學名稱:3-羥基-4-[(4-甲基-2-磺酸基苯基)偶氮]-2-萘甲酸鈣鹽(1:1)
- C.I.結構號:15850:1
- CAS登記號:5281-04-9
- 分子式:C18H12N2O6SCa
- 分子量:424.46
- 分子結構圖

顏料紅57:1物理性能:
| 色相/色光 | 藍光紅色 |
| 相對密度 | 1.42-1.80 |
| 堆積密度/(lb/gal) | 11.8-14.9 |
| 粒子形狀 | 棒狀 |
| pH值/(10%漿料) | 6.0-9.0 |
| 吸油量 | 20-88g/100g |
| 遮蓋力 | 半透明型 |
| 熔點 | 360℃ |
| 平均粒徑 | 0.04-0.3μm |
| 比表面積 | 21-105m²/g |

顏料紅57:1的合成方法
顏料紅57:1的合成過程涉及多個化學反應步驟,主要包括以下幾個環節:
- 重氮化反應:首先,將4B-酸與水混合并加熱至沸騰,除去對甲苯胺。然后,加入石灰過濾,冷卻,過濾液與亞硝酸鈉混合,在鹽酸和冰的混合物中進行重氮化反應。
- 反應與過濾:將2,3-酸溶于碳酸鈉水溶液中,并于10℃時將第一步獲得的重氮液緩慢加入反應,攪拌反應后過濾。
- 最后處理:將濾餅溶于水中,加入松香液,再加入氯化鈣溶液,在80℃下攪拌反應,過濾并干燥,最終得到顏料紅57:1。
顏料紅57:1特性介紹:
顏料紅57:1不溶于乙醇,在濃硫酸中呈品紅色,其水溶液遇鹽酸呈棕紅色沉淀,遇氫氧化鈉呈棕色。該顏料品種適用于各種印刷油墨,色光符合四色版規定的品紅色,具有高著色力和良好耐光牢度4-5級(1/1SD);合成時加入吐氏酸可改變粒徑和色光;需要注意的是其色淀在水性醇介質中由于金屬離解,發生金屬離子的置換作用,這會導致堿性印墨存放時變稠,為防止印墨的變稠,可選用C.I.顏料紅184(混合偶合的產品)替代;其在乳膠漆以及塑料中應用(軟質PVC,LDPE),可作為食品紅No.7使用。

顏料紅57:1的主要用途
-
印刷油墨
顏料紅57:1以其優異的著色力和耐光性能,廣泛應用于各種印刷油墨中。它能夠提供明亮的藍相紅色調,并且符合四色印刷版的品紅色標準。 -
油漆涂料
顏料紅57:1在油漆涂料中可以提供鮮艷明亮的藍紅色,同時具有良好的穩定性,尤其適用于乳膠漆和室內裝飾涂料的著色。 -
塑料與橡膠
顏料紅57:1也常用于塑料(如軟質PVC和LDPE)及橡膠制品的著色。它的良好耐光性和穩定性使其成為塑料制品、日用化學品以及電線等領域中的理想選擇。 -
食品包裝與日用化學品
顏料紅57:1可作為食品紅No.7使用,符合食品包裝和日用化學品的著色標準,具有良好的安全性和穩定性。 -
藝術顏料
由于其亮麗的色彩和光澤度,顏料紅57:1還被廣泛應用于油畫、水彩畫以及其他藝術顏料的生產中。
顏料紅57:1代表產品
-
科萊恩Permanent Rubine L5B01品紅易分散油墨用顏料
科萊恩CLARIANT Permanent Rubine L5B 01是一種適用于油墨行業的品紅色單偶氮色淀有機顏料,在顏料紅57:1中具有中等色調,其色調符合...
-
科萊恩L4B寶紅色易分散顏料CLARIANT Graphtol Rubine L4B顏料紅57:1
科萊恩Graphtol Rubine L4B是一種經濟的寶紅色易分散顏料,顏料紅57:1,單偶氮色淀有機顏料,具有優異的分散性和良好的耐光性,建議用于電纜,薄膜...
-
科萊恩L4B01寶紅顏料Permanent Rubine L4B01有機顏料紅57:1
科萊恩CLARIANT Permanent Rubine L4B01是一種寶紅色的單偶氮色淀有機顏料,顏料紅57:1,它在印刷油墨中表現出優異的色彩特性和分散性...
-
巴斯夫D4240艷佳麗顏料寶紅Irgalite Rubine D4240有機顏料紅
巴斯夫D4240是一種高透明的藍光紅色(寶紅色)單偶氮色淀有機顏料,顏料紅57:1號,顏色明亮鮮艷,具有優異的光澤度和高著色強度,在油墨中流動性好易分散,并具有...
-
巴斯夫BASF Irgalite Rubine D4230寶紅顏料
巴斯夫BASF Irgalite Red D4230/L4BH寶紅顏料是一種半透明的藍光紅色單偶氮有機顏料(顏料紅57:1),成品為寶紅色粉末狀,色澤鮮艷,著色...
-
巴斯夫K4270寶石紅顏料BASF Irgalite Rubine K4270/8B艷佳麗有機顏料
德國巴斯夫K4270/8B是一種透明的寶石紅色有機顏料,藍光紅,顏色強度高,色澤鮮艷,著色力強,在油墨中流動性好,并具有良好的穩定性,在HDPE注塑成型中低翹曲...
-
巴斯夫K4270FP易分散寶紅有機顏料PP纖維用透明藍光紅色粉
巴斯夫K4270/4BP是一款具有優異分散性的透明寶紅色單偶氮色淀有機顏料,行業標桿的顏料紅57:1,高著色力,分散性好,經濟耐用,在HDPE注塑中低翹曲,在P...