顏料紅170(PR170)單偶氮萘酚紅有機顏料Pigment Red 170
- 名稱:顏料紅170(Pigment Red 170/PR170)
- 俗稱:萘酚紅
- 色相/色光:藍光紅色
- 化學類別:單偶氮類
- 特點:顏色鮮艷、著色力強、良好的色牢度
- 應用:涂料、油墨、塑料、纖維、藝術著色
- 更新日期:2025-04-22
- 點擊索要樣品 查詢相關產品
C.I. 顏料紅170萘酚紅(Pigment Red 170)性能、用途及合成方法詳解
基本描述
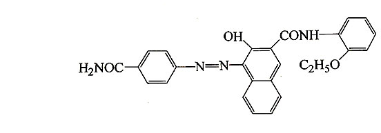
顏料紅170(Pigment Red 170,簡稱PR170)俗稱萘酚紅,是一種性能優異的合成有機顏料,它的化學文摘名稱為4-[ [4-(氨基羰基)苯基]偶氮]-N-(2-乙氧基苯基)-3-羥基-2-萘甲酰胺4-[ [4-(Aminocarbonyl)phenyl]azo]-N-(2-ethoxyphenyl)-3-hydroxy-2-naphthalenecarboxamide,屬于單偶氮類顏料中溶劑不溶型的紅色顏料。該顏料呈現出鮮艷的藍光紅色至中紅色,色調純凈且具有良好的著色力,被廣泛應用于涂料、塑料、油墨、纖維著色等多個領域。
-
C.I.名稱:顏料紅170(Pigment Red 170)
-
C.I.編號:12475
-
CAS登記號:2786-76-7
-
化學類別:單偶氮類顏料
-
分子式:C26H22N4O4
-
分子量:454.48g/mol
-
分子結構式:

物理化學性能
| 項目 | 參數 |
|---|---|
| 色相或色光 | 艷藍光紅 |
| 相對密度 | 1.25-1.36 |
| 堆積密度 (lb/gal) | 10.4-11.3 |
| 熔點 (℃) | 315-325 |
| 平均粒徑 (μm) | 0.18-0.22 |
| 粒子形狀 | 棒狀 |
| 比表面積 (m²/g) | 22-26 |
| pH值 (10%漿料) | 6 |
| 吸油量 (g/100g) | 59-81 |
| 遮蓋力 | 半透明型 |
主要特性
顏料紅170具有以下特點:
- 顏色鮮紅,呈藍光紅色調,色彩飽和度高,著色力強;
- 擁有優良的耐光性(透明型為6級,非透明型可達7級)、耐候性和良好的耐熱性;
- 分散性好,在多種介質中易于分散,尤其適合用于水性或溶劑型體系。
- 不溶于水,耐酸堿,一般有機溶劑中不溶;
- 對濃硫酸顯紫紅色,稀釋后呈藍光紅沉淀;對濃硝酸呈棕紅色;在氫氧化鈉中呈紅色;
- 有兩種晶型(α型和β型),其中β型穩定性和遮蓋力更好;
- 應用廣泛,可滿足從高檔涂料到通用塑料、油墨等多種應用需求;
- 應用穩定性好,性能價格比高,屬于中檔有機顏料中性價比較佳的品種。

應用領域
顏料紅170因其優異的性能,在多個行業中廣泛應用:
涂料行業:
- 廣泛用于工業涂料、工具漆、汽車漆、工業設備用漆;
- 可與鉬鉻橙、喹吖啶酮顏料共用拼色,提供明亮鮮艷的紅色視覺效果。
- 高遮蓋力版本適合不透明涂層,透明型適用于金屬漆或裝飾涂層。
塑料著色:
- 適用于聚烯烴、PVC、PE、PP、C、PS、ABS、聚丙烯腈、醋酸纖維、粘膠纖維等的原漿著色;
- 耐高溫、不遷移、色澤鮮艷,廣泛應用于日用品、玩具、包裝材料中。
油墨與印刷:
- 應用于溶劑型、水性油墨和金屬印刷油墨;
- 特別適合高透明度要求的包裝印刷墨水;
- 在油墨體系中展現出優良的色強度、流動性與印刷適性。
藝術與裝飾材料:
- 適用于蠟筆、水彩、油畫顏料、涂層顏料、木材著色等;
- 良好的耐光與耐熱特性使其適合長期展示和戶外使用。

顏料紅170合成方法
由1.36kg4-氨基-1-苯甲酰胺重氮化,并與3.07kg2-羥基-3-萘甲酰(2'-乙氧基)苯胺、(色酚 AS-PH)偶合,制備的弱酸性顏料懸浮體,往其中加水至總體積為120L,攪拌下加入22L乙醇溶液(含有0.42~1.05L苯或甲苯),加入10~15L松香酸鈉鹽溶液(濃度10%),pH值9~9.5,加熱至沸,回流下保持直至全部α-晶型顏料轉變成β-型顏料,過濾、水洗,真空下55℃干燥,得β-型C.I.顏料紅170。
顏料紅170(Pigment Red 170/PR170)代表產品
-
潤巴P1378單偶氮萘酚紅有機顏料_顏料紅170
潤巴Ranbar Red P1378是一種基于顏料紅170的單偶氮類萘酚紅有機顏料,顏色呈明亮的黃光紅色調,光澤度高,著色力強,流動性和分散性好,潤巴P1378...
-
科萊恩顏料F3RK70紅色粉CLARIANT Novoperm Red F3RK 70有機顏料紅17
科萊恩CLARIANT Novoperm Red F3RK 70是一種非常明亮且不透明的藍光紅色單偶氮萘酚有機顏料,顏色鮮艷、高光澤高、著色力好,具有良好的耐溶...
-
科萊恩高透明顏料紅Graphtol Red F5RK高透明有機顏料(顏料紅170)
科萊恩F5RK高透明顏料紅是一種非常強烈和明亮的藍光紅色單偶氮有機顏料,具有非常好的耐光性、耐酸堿性和高透明度,推薦用于PO、PP纖維、PAN纖維等聚合物的著色...
-
科萊恩Novoperm Red F5RK藍光紅色半透明萘酚顏料(顏料紅170)
科萊恩CLARIANT Novoperm Red F5RK是一種非常強烈的藍光紅色半透明萘酚顏料,色澤鮮艷、著色力高,表現出優異的耐光性和耐候性以及良好的耐酸堿...
-
科萊恩F3RK70紅高耐曬顏料Graphtol Red F3RK70(顏料紅170)
科萊恩Graphtol F3RK70高耐曬顏料是一種非常強烈且明亮的中性紅色單偶氮有機顏料,顏色鮮艷、著色力強、耐酸堿性好,在聚烯烴中具有非常高的耐曬性(8級)...