顏料黃150合成工藝—PY150顏料性能特點及應用解析
- 名稱:顏料黃150
- 俗稱:偶氮鎳絡合顏料
- 色相/色光:綠相黃色
- 化學類別:偶氮鎳絡合顏料
- 特點:著色力強,高耐光,耐高溫,耐溶劑
- 應用:塑料、涂料、印刷油墨
- 更新日期:2025-05-23
- 點擊索要樣品 查詢相關產品
偶氮鎳絡合顏料黃150生產工藝、結構、性能與應用詳解
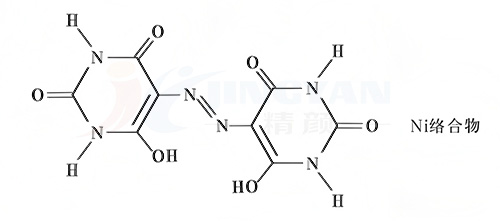
顏料黃150(Pigment Yellow 150)是一種含有嘧啶環結構的雜環類偶氮鎳絡合物有機顏料,主要成分為5,5'-偶氮雙巴比妥酸鎳配合物,具有非常好的耐光性和整體牢度性能,以及優異的耐熱性。在塑料、涂料和印刷油墨等多個行業中被廣泛使用。
顏料黃150基本信息
-
中文名稱:顏料黃 150
-
英文名稱:Pigment Yellow 150
-
化學文摘名稱:5,5'-azobis-2,4,6(1H,3H,5H)-pyrimidinetrione Nickel complexes
-
CAS號:25157-64-6
-
C.I.結構號:12764
-
EINECS號:270-944-8
-
化學類別:嘧啶雜環類(鎳絡合物)
-
分子式:C?H?N?O?Ni
-
相對分子質量:340.70
-
分子結構:

顏料黃150理化性能
| 項目 | 參數 |
|---|---|
| 外觀 | 土黃色粉末 |
| 色相/色光 | 綠光黃色(著色顏色) |
| 相對密度 | 2.0–2.1 g/cm³ |
| 堆積密度 | 17.0–17.3 lb/gal |
| 比表面積 | 約 40 m²/g |
| 吸油量 | 45–55 g/100g |
顏料黃150合成工藝
- 重氮化反應:對甲苯磺酰疊氮(p-Toluenesulfonyl azide)化合物與巴比妥酸(Barbituric acid)反應生成重氮鹽中間體。這一過程也可替代為利用氨基胍碳酸鹽(aminoguanidine carbonate)與亞硝酸鈉(NaNO?)反應制備疊氮甲脒鹽酸鹽(azidomethylguanidine hydrochloride)后,再與巴比妥酸反應生成重氮化合物。
- 偶合反應:所生成的重氮鹽隨后與巴比妥酸發生偶合反應,生成偶氮型有機配體。
- 絡合反應:將上述偶合產物與鎳鹽進行絡合反應,生成1:1型的偶氮鎳絡合物,即顏料黃150成品。此絡合反應能夠提高顏料的熱穩定性和耐光耐候性。

顏料黃150概述:
顏料黃150是一種含有嘧啶環的雜環類偶氮鎳絡合物,其色粉呈較暗的土黃色,著色后呈半透明的綠光黃色調,具有優異的著色力和耐熱性,全色和沖淡色都具有優異的耐光和耐候性能,在1/25標準深度(SD)下,涂料試樣耐光牢度可達7-8級。PY150黃有機顏料廣泛用于塑料、油漆涂料及印刷油墨等行業的著色,適用于幾乎所有的聚合物樹脂著色,可用于尼龍注塑和尼龍紡絲著色,也用于聚烯烴紡絲著色。其在印墨試樣的耐酸/堿性良好,并有良好的著色強度。
性能特點
-
著色力強:著色后表現具有獨特的綠光黃色效果
-
耐熱性強:適用于高溫加工工藝,如注塑與紡絲;
-
耐光耐候性好:全色、沖淡色均具有出色的牢度,適合長期戶外使用的產品;
-
耐酸堿性好:適用于要求化學穩定性的印刷油墨體系;
-
耐溶劑性強:適用于多種溶劑型應用環境;

推薦應用領域
顏料黃150因其出色的綜合性能而廣泛應用于多種行業,主要包括:
塑料行業
適用于幾乎所有聚合物體系的著色,如:PP、PE、POM、PS、PC、PA、PU、PET、ABS、橡膠及各類合成纖維等,均能展現出良好的著色力與耐久性能。
涂料行業
適用于裝飾涂料、粉末涂料、建筑涂料、卷材涂料、工業涂料及汽車涂料等,顏料黃150憑借其優異的耐光、耐熱和耐候性能,在各類高要求涂料體系中均能提供穩定持久的色彩表現。
油墨行業
廣泛適用于多種類型的油墨體系,具有出色的著色力與耐久性,包括水性油墨、UV油墨、溶劑型油墨、凹版印刷油墨、膠印油墨、噴墨油墨以及各類印刷漿料,能滿足對色彩鮮明度與長期穩定性的高要求。

顏料黃150代表產品
-
科萊恩HN4G顏料黃150水性裝飾凹版印刷油墨專用偶氮鎳黃顏料
科萊恩Hostaperm Yellow HN4G是一種綠相黃色偶氮鎳絡合物顏料,該顏料的索引號為顏料黃150,是用于水性裝飾凹版印刷油墨綠相黃色調的既定標準顏色...
-
潤巴P3410鎳偶氮金屬絡合物顏料_顏料黃150
潤巴Ranbar Yellow P3410是一種高性能的嘧啶雜環類偶氮鎳金屬絡合物顏料,索引號為顏料黃150,該顏料在低濃度時給出較暗的綠相黃色調,高濃度時呈現...
-
朗盛顏料黃5GN01拜普拉斯偶氮鎳絡合物復合顏料BAYPLAST Yellow 5GN01
德國朗盛BAYPLAST Yellow 5GN01是一種綠光黃色的偶氮鎳絡合物復合顏料,具有非常好的耐光性、耐候性和耐熱穩定性,適用于多數熱塑性工程塑料的應用,...